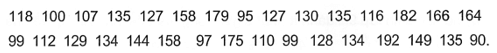
Một phòng khám đo và ghi lại huyết áp tâm thu (đơn vị tính là mmHg) của một số người đến khám bệnh thu được kết quả như sau
Một phòng khám đo và ghi lại huyết áp tâm thu (đơn vị tính là mmHg) của một số người đến khám bệnh thu được kết quả như sau:
Giải sách bài tập Toán 9 Bài 24: Bảng tần số, tần số tương đối ghép nhóm và biểu đồ - Kết nối tri thức
Bài 7.19 trang 36 sách bài tập Toán 9 Tập 2: Một phòng khám đo và ghi lại huyết áp tâm thu (đơn vị tính là mmHg) của một số người đến khám bệnh thu được kết quả như sau:
Theo Hiệp hội Tim mạch Hoa Kỳ, người bình thường có huyết áp tâm thu từ 90 mmHg đến dưới 120 mmHg, người ở dạng tiền tăng huyết áp có huyết áp tâm thu từ 120 mmHg đến dưới 140 mmHg; người bị tăng huyết áp có huyết áp tâm thu lớn hơn hoặc bằng 140 mmHg.
Lập bảng tần số ghép nhóm và bảng tần số tương đối ghép nhóm cho dãy số liệu trên theo các mức bệnh huyết áp.
Lời giải:
Bảng tần số ghép nhóm của mẫu dữ liệu:
|
Mức huyết áp (mmHg) |
[90; 120) Bình thường |
[120; 140) Tiền tăng huyết áp |
140 trở lên Tăng huyết áp |
|
Tần số |
11 |
11 |
9 |
Cỡ mẫu n = 11 + 11 + 9 = 31.
Tần số tương đối của các nhóm dữ liệu:
● Tỷ lệ số người có huyết áp từ 90 mmHg đến dưới 120 mmHg là:
● Tỷ lệ số người có huyết áp từ 120 mmHg đến dưới 140 mmHg là:
● Tỷ lệ số người có huyết áp 140 trở lên là:
Bảng tần số tương đối ghép nhóm của mẫu dữ liệu:
|
Mức huyết áp (mmHg) |
[90; 120) Bình thường |
[120; 140) Tiền tăng huyết áp |
140 trở lên Tăng huyết áp |
|
Tần số tương đối |
35,5% |
35,5% |
29% |
Lời giải SBT Toán 9 Bài 24: Bảng tần số, tần số tương đối ghép nhóm và biểu đồ hay khác:
