Khi nung 23,2 gam sunfua của một kim loại hóa trị hai trong không khí rồi làm nguội sản phẩm
Bài 25: Luyện tập: Sự điện phân - Sự ăn mòn kim loại - Điều chế kim loại
Haylamdo biên soạn và sưu tầm lời giải Bài 5 trang 143 sgk Hóa 12 nâng cao được biên soạn lời giải chi tiết sẽ giúp bạn biết cách làm bài tập môn Hóa 12.
Bài 5 (trang 143 sgk Hóa 12 nâng cao): Khi nung 23,2 gam sunfua của một kim loại hóa trị hai trong không khí rồi làm nguội sản phẩm thu được một chất lỏng và một chất khí. Lượng sản phẩm khí này làm mất màu 25,4 gam iot. Xác định tên kim loại đó.
Lời giải:
Gọi kim loại hóa trị hai là M ⇒ Muối là MS nung trong không khí được một chất khí là SO2 và một chất lỏng SO2 phản ứng với I2 theo phương trình
SO2 + I2 + 2H2O → H2SO4 + 2HI
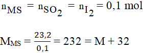
Theo phương trình và BT nguyên tố S ta có:
⇒ M = 200. M là thủy ngân Hg

