Muốn mạch dao động có tần số dao động riêng là 1 MHz, cần phải mắc một tụ điện
Bài 20: Mạch dao động
Bài 20.13 trang 55 Sách bài tập Vật Lí 12: Muốn mạch dao động có tần số dao động riêng là 1 MHz, cần phải mắc một tụ điện có điộn dung bao nhiêu fara với một cuộn cảm có độ tự cảm 0,1 H.
Lời giải:
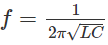
Áp dụng công thức tính tần số của mạch dao động LC ta có

