Đặt một điện áp u = 150√2cos100πt vào hai đầu đoạn mạch nối tiếp
Bài tập cuối chương III
Bài III.19 trang 52 Sách bài tập Vật Lí 12: Đặt một điện áp u = 150√2cos100πt vào hai đầu đoạn mạch nối tiếp gồm điện trở thuần 60Ω, cuộn dây (có điện trở thuần) và tụ điện. Công suất tiêu thụ điện của đoạn mạch bằng 250 W. Nối hai bản tụ điện bằng một đây dẫn có điện trở không đáng kể. Khi đó, điện áp hiệu dụng giữa hai đầu điện trở bằng điện áp hiệu dụng giữa hai đầu cuộn dây va bằng 50√3V. Hỏi dung kháng của tụ điện có giá trị bằng bao nhiêu ?
Lời giải:
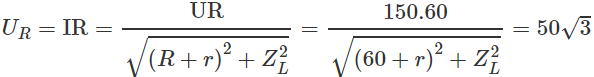
Khi tụ điện bị nối tắt (H.III.6.G)
⇒ r2 + ZL2 = 602
Kết hợp với (a) : r = 30Ω và ZL = 30√3Ω
Khi tụ điện không bị nỗi tắt :
⇒ ZL - ZC = 0 ⇒ ZL = ZC = 30√3Ω

